Engineering Mechanics
- Introduction to Engineering Mechanics
- Fundamentals of Engineering Mechanics
- Reactions
- Friction
- Wedges - using The Wedge Formula
- Analysis of Trusses
- Method of Sections
- Center of Gravity
- Moment of Inertia
- Shearing force and Bending Moment Diagrams
Chapter 1
Introduction to Engineering Mechanics
1. Introduction:
Object of study of Engineering Mechanics is to solve the real-life problems by making use of Physics and Mathematics. In other words we study common engineering elements in real world situations.
Thus, from now onwards you will not see any imaginary diagrams on your blackboards or in your textbooks or for that matter on this electronic white paper.
Engineering Mechanics is divided into two major parts. "Statics" and "Dynamics". Dynamics is further divided into two parts. "Kinematics" and "Kinetics".
Engineering Mechanics - 'Statics Part' deals with bodies and frames in equilibrium, no part of the given element will be allowed to move free.
Every branch of engineering has got some key words. Keywords are those words which we use quite frequently.
Major keyword in the field of statics is "Structure". How do we define it?
Just try to get the answers for the following two questions.
| Q1: How it is made? |
| Q2: What is its function? |
Any frame, which is given a desirable shape (from the view point of an Architect) and is capable of supporting the design loads is called a 'Structure' .
Here you will find, the word design is added to give an Engineering touch. Structure may consist of other key words like beam, bridge truss, portal frame, gable frame and other frames.
Thus, structure is a frame built up of several members connected in such a way that no movement of a member of the joint is possible; it means it is stable.
Before solving a problem, it becomes important to know whether the given frame is a structure or a mechanism. If it is a structure, whether it is just stable or over stable.
Above three answers can be found out by calculating the degrees of freedom of the frame as a whole.
Every member in the plane has 3 degrees of Freedom.
These are:
- Horizontal Movement
- Vertical Movement
- Rotation
3.1 Restrictions to the Movements because of ground connections.
(termed as rj- restriction because of joint)
| (a) |
Roller Support | ![]() (only vertical movement restricted) rj = 1 |
| (b) | A pin or Hinge Joint (connection) | ![]() (Vertical and horizontal movement prevented) rj= 2 |
| (c) | A fixed or Rigid Joint | ![]() (vertical, horizontal and rotational movements prevented or restricted) rj = 3 |
(Examples are given for Pin Connections, similar arrangements can be adopted for fixed or rigid connections)
|
Two members meeting at a joint rj=2 Refer table 3.1.b |
In other words 1 pin connection |
| Three members meeting at a joint rj=4 |
In other words 2 pin connections |
| Four members meeting at a joint rj=6 |
In other words 3 pin connections |
We come to the conclusion that we have to deal with the degrees of freedom of members (∑fm) and total restrictions provided (∑rj). Thus,
| f = Degrees of Freedom of complete frame |
| f = ∑fm - ∑rj |
| f = 0 | It is a statically determinate structure. |
| f < 0, -1, -2… | It is a statically indeterminate structure. |
| f > 0, 1, 2…… | It is not a structure but it is a mechanism with “ f ” degrees of freedom. |
LEGEND: ro means roller, p means pin , r means rigid
ground is our reference memberWe have only one member AB so ∑fm = 1x3=3
We have 1 pin connection at A ∑rj = 1px2+1rox1= 3
and 1 roller connection at B
(please refer above 1 pin connection provides 2 restrictions and 1 roller connection provides 1 restriction )
∑fm - ∑rj = 3-3=0.
It is a statically determinate structure.

Above structure has one member and one rigid joint.
Therefore, ∑fm = 1x3, ∑rj = 1r x 3 = 3
f = ∑fm - ∑rj = 3-3 = 0.
It is a statically determinate structure.

Total Number of Members = 9
Therefore, ∑fm = 9x3 =27
At C & E, 3 members meet, so 2p each
At D & F, 4 members meet , so 3p each
At A; 2 members and ground are connected so 2p (two pin connections)
At B, BD & BE join to give 1p, further both are connected to ground by roller support so plus 1ro
∑rj = 13p x 2 +1 rox1 = 27.
thus, ∑fm - ∑rj = 27-27 = 0
Therefore it is a statically determinate structure.

Total Number of members = 6, Therefore, ∑fm = 6x3 = 18
∑rj = 6r x 3+2p x2 = 22
Therefore, ∑f = ∑fm - ∑rj = 18-22 = -4
It is a statically indeterminate structure, with 4 degree of redundancy or indeterminacy.

Total number of members = 21
∑fm = 21x3 = 63
∑rj = 30r x 3 = 90
f = 63 - 90 = -27
It is therefore an indeterminate structure with 27 degree of indeterminacy or redundancy.

1s means one slider joint rj=2
Vertical movement & Rotation of the Piston is Prevented.
∑fm = 3x3 = 9
∑rj = 3p x 2+1sx2=8
f = 9-8 = +1
Thus it is a mechanism with one degree of freedom.
Any free member, if it is connected by a rigid joint will lose all the 3 degrees of freedom. So, you may count the member or not, it is immaterial.
Chapter 2
Fundamentals of Engineering Mechanics
Fundamental Applications of Forces, their Resultant, free-body diagrams and how to transfer a force, for co-planer concurrent and non-concurrent forces.This chapter is more or less repetition of the basics of mechanics taught at school level.
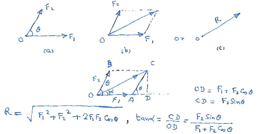
When two forces (F1,F2) acting on a particle are represented by the two adjacent sides of a parallelogram, the diagonal connecting the two sides represents the resultant force R in magnitude and direction.
![]() |
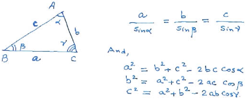
If two Forces F1 and F2 acting simultaneously on a particle can be represented by the two sides of a triangle (in magnitude and direction) taken in order, then the third side (closing side) represents the resultant in opposite direction.
|
Thus, in above triangle, one can apply all the rules regarding trignometrical functions of the triangle as given below.
|
If a number of concurrent forces acting simultaneously on a particle are represented in magnitude and direction by the sides of a polygon taken in order, then the resultant of the system of forces is represented by the closing side of the polygon in the opposite order.
|
Explanation:
Polygon of forces abcda' has been drawn by adopting well known Bow's Notation. In the given Force diagram spaces between two forces are denoted as space A, B, C & D In the polygon drawn aa' is the resultant R in magnitude and direction. In case a' falls upon a, the Resultant will obviously be zero (Above diagram shows all the three tensile in nature).
If three forces acting on a particle are in equilibrium, then each force is proportional to the Sine of the angle included between the other two forces.
![]() |
It may be noted that all the three forces should be either tensile or compressive in nature. Diagram above shows tensile.
If the co-planar forces are non-concurrent, then the resultant is obtained by drawing the funicular polygon as given below. In this, polygon of forces diagram is drawn and a suitable pole O is chosen. Rest is self explanatory from the diagrams.
![]() |
Polygon of forces give us magnitude and direction of the Resultant of Forces F1,F2,F3 and F4. Funicular Polygon gives us the location of the Resultant.
This theorem states that algebraic sum of the moments of two or more number of concurrent forces about any point in their plane is equal to the moment of their resultant about the same point. Here, the proof is given for two forces. Similar one will be valid for any number of concurrent forces.
![]() |
Let there be two forces F1 and F2 represented by OA and OB.
Complete parallelogram of forces and find Resultant R as shown.
Choose point D for moments.
∴ Moment of F1 about D =2(Area of △AOD)
Moment of F2 about D = 2(Area of △BOD)
∴ Moment of F1 & F2 about D = 2[Area of △AOD + Area of △BOD]
= 2[Area of △AOC + Area of △BOD]
= 2[Area of △BOC + Area of △BOD]
= 2 Area of △DOC = Moment of R about D
Moment of a force is always calculated at a given point. It is equal to the force multiplied by the perpendicular distance measured from the point. In the figure given below the moment at O is Fxd anticlockwise i.e Mo = -F.d
![]() |
![]() |
Example:
![]() |
Definition: It is the sketch of the isolated body on which external forces acting on the body and the reactions of the removed elements are shown.
Simple examples: (a) Ball resting on a floor.
![]() |
![]() |
It may be noted that horizontal forces are denoted by H and vertical forces by V and inclined forces by R. (c) Ladder resting on rough floor and rough wall
![]() |
![]() |
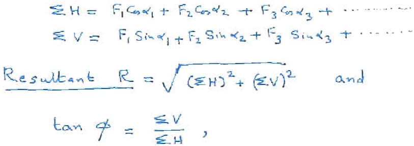
It shows a force can be transferred as it is, but with a moment of p.a.
The analytical method of finding the resultant of a given force system is based on the principle of resolution of forces along horizontal and vertical axes. Let F1,F2,F3. . . . . be the forces inclined to x axis (horizontal) at α1,α2,α3. . . .Then the various force components will be
![]() |
where Φ is the angle R makes with the x-axis (horizontal)
![]() |
![]() |
ii) Let us suppose equivalent single force of 60KN is applied at C at a distance of x from A, we have
![]() |
![]() |
i.e.
![]() |
Now transfer 30kN.m couple from C to A. It will go as it is, Therefore we will have at A
![]() |
![]() |
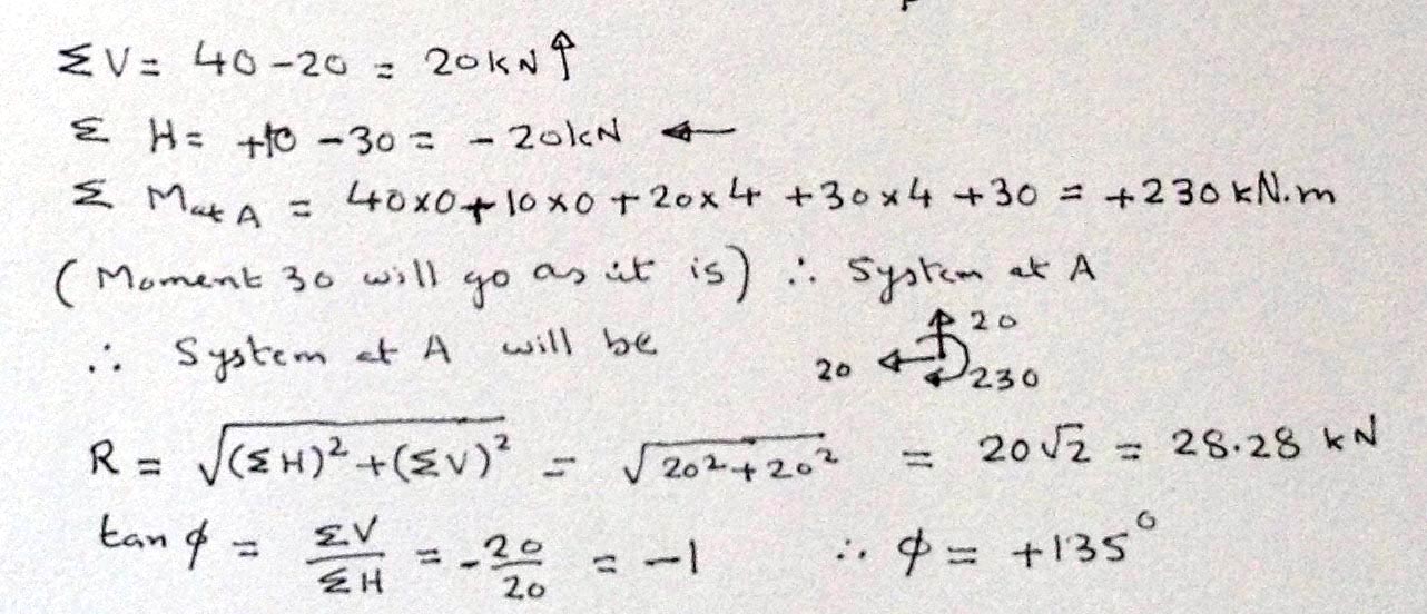
Given System Up Force +ve , i.e. ↑ +ve
Net force at B = +60 + 30 - 80 - 40 = -30 kN ↓ Net Moment at B = +30 X 3 - 80 X 2 + 60 X 0 + 40 X 2 = +10 kN.m
Answer ▼
|
|
| system (a) Vertical forces +20 - 10 = +Q - P system (b) Vertical forces | |
| ∴ Q - P = 10 .................① | |
| Mat B = -10 x 2 = -Q x 2 | |
| -20 = -2Q | |
| ∴ Q = 10 .................② | |
|
Q-P = 10 from ①
Substituting the value of Q
10 - P = 10 ∴ P = 0 |
|
| Answer P = 0, Q = 10kN ▼ | |
![]() |
![]() |
Therefore magnitude and direction of the resultant will be 28.28 KN and Φ = +135°
The direction of the Resultant is shown in the diagram by double arrows to distinguish from the given forces .
Determination of Location:
Suppose R crosses line AD at "y" distance below A. Moment at A due to R =(∑H) y = 20y (vertical component will vanish because it will pass through A)
∴ 20y = 230 ∴ y = 11.5m ▼ (Below A)
It is obvious that point E will not be between A and D but will be 11.5-4 = 7.5m below D
![]() |
![]() |
(ii) Two balls of same radius "r" and same weight W in a smooth trough
![]() |
![]() |
Consider FBD of LHS Ball,
![]() |
we will get HA,HB & Vc (iii) Distance between walls is 2b. Weight of each ball is W. Radius of each ball is r.
![]() |
![]() |
| Σ along the inclined plane of 45° = 0 |
| (Forces up the plane +ve. Plane will be parallel and pass through Centre B and N2 will be normal to this plane) |
| = -P Cos15°- 2000 Cos45°+ N3 Cos60° = 0 |
| Therefore P Cos15° = 1035.5 or P = 1071.8 N Answer ▼ . |
| Note: In above equation N2 does not appear because N2 cos90° = 0. |
Note: Force Representation Convention Used in VTG.
![]() |
+ve | |
![]() | -ve |
Chapter 3
Reactions
1. Reactions- Definition, Calculations and Transfer of Loads:
So far we have observed the effect of freedom and restrictions on the structure. It is seen that any type of freedom of a member will make the structure useless and it will collapse.
In our life, we are required to face several restrictions (e.g. laws of the institution where we study, city and state laws and finally national and international laws. This may include the religious laws.)and these restrictions make us good citizens.
Every structure is to face actions (given design loads) and these actions are transmitted through man made connections (already explained roller support, hinged
support and fixed support). Thus entire load of the structure is transferred to the ground through the supporting connections.
Religiously speaking, we all are supposed to merge into good earth, only in a different form depending upon religion. Well I am sorry to mention about the religious philosophy but that is the truth.
So far only Actions (given loads) have been described. What about Reactions.
Let us consider a Hinged support A as shown below.
![]() |
In order to prevent vertical movement, a vertical force has to be applied. This vertical force is called a Vertical Reaction.
![]() |
Similarly to prevent horizontal movement , a horizontal force is applied by the ground and this is called a Horizontal Reaction.
Now, we can define what is a Reaction.
Reaction is a force required to prevent the movement.
Moment Reaction is moment required to prevent the rotation at the end or connection of the structure.
Important note: Reactions are under the control of a Design Engineer. He can put the supports anywhere he likes.
Figures of Beams and Loads are given below-
| (i) A Simple Beam |
![]() |
| (ii) An Overhanging Beam |
![]() |
| (iii) A Cantilever Beam |
![]() |
| (iv) A Fixed Beam |
![]() |
| i) Concentrated Load(Point Load or Wheel Load) | ![]() |
| ii) Uniformly Distributed Load |
![]() |
| iii) Non Uniformly Distributed Load |
![]() |
| iv) Moment Loading |
![]() |
The structure or rigid body subjected to loads P1, P2, P3, P4 & P5 is shown here.
![]() |
In case we do not want the body to move horizontally, we should see that algebraic sum of all the horizontal components of forces(loads and reactions) should be zero.
Therefore, ΣH = 0, → +ve ---------- (1)
Similarly, if we want no vertical movement,
ΣV=0, ↑+ve ---------- (2)
In order to maintain the equilibrium, we must see that the body should not rotate about any point in the plane.
ΣM=0,
+ve ---------- (3)Mathematically, following are the general conditions of Equilibrium.
| ΣH = 0, →+ve |
| ΣV = 0, ↑+ve |
ΣMat any point=0 , +ve |
![]() |
Locate the Reactions and show them on the diagram. Since there is a hinge at A, we will have 2 reactions HA & VA to prevent horizontal and vertical movement.
There is a Roller Support at B which prevents only vertical movement, hence show VB at B.
Step 2
Apply the conditions of equilibrium in such a manner that one reaction is obtained easily. Since HA & VA are both acting at A, it will be better to apply the condition ΣM = 0,
+ve at A.
ΣMat A=0, +ve, |
| Therefore HA × 0 + VA × 0 + (2×6)(3)+4×9- VB×12=0 |
| Therefore VB = +6KN ↑ ▼ Answer 1 |
| ΣH=0,→+ve , + HA=0 ▼Answer 2 |
| ΣV=0, ↑+ve, + VA + VB –(2×6)-4=0 |
| or + VA+6-12-4 = 0 ∴ VA=+10KN↑ ▼ Answer 3 |
![]() |
| ΣH = 0, →+ve , ∴ HA = 0 ▼(1st answer) |
| ΣV=0, ↑+ve, + VA -2×6-4 = 0 ∴ VA = +16KN ▼(2nd Answer) |
ΣMat A = 0, +ve, HA × 0 + VA × 0 + MA+(2×6)(5)+4×10+6=0 |
∴ MA= -106KN.m ▼ (3rd Answer) |
![]() |
Loads on the Beam
2-uniformaly distributed loads 2KN/m & 4KN/m
1-Concentrated Load 2KN
2-Moment loading 6KN.m and 4KN.m
Reactions VA & VB to be determined
Applying the general condtions of Equilibrium,
We have,
ΣMat A=0, +ve, +6-(2×4)(2)+ VA×0 +(4×10)(5)- VB×10+2×14+4=0 |
| ∴ VB = (6−16+200+28+4)/10 = +22.2 ↑KN ▼ |
| ΣV = 0 , ↑+ve, +VA +VB-(2×4)- (4×10)-2 = 0 |
| ∴ VB = +27.8KN ↑▼ & VA=+22.2KN↑▼ |
![]() |
End A is hinged. It will prevent two movements, so there will be 2 Reactions HA & VA . Assume +ve direction.
End B is a Roller Support.it will prevent vertical movement, so assume VB +ve direction i.e. upwards.
There are 3 concentrated loads. Two horizontal 6kN→ and 2kN ← plus one vertical concentrated load ↓10kN
Apply conditions of Equilibrium
| ΣH=0,→ +ve , +6+HA-2 = 0 ∴ HA = -4kN← ▼ ̆ |
ΣMat A=0, +ve, HA×0+VA×0+6×4+10×4 -2(8-3)- VB×8=0 |
| ∴ VB= +6.75KN ↑ ▼ |
| Σ V = 0 ,↑+ve , VA + VB -10 = 0 ∴ VA =+2.25kN ↑ ̆▼ |
Chapter 4
Friction
(Friction involving horizontal plane, inclined plane, and Wedges)
1.What is FrictionFriction is the resistance to motion of one object moving relation to an-other. It takes place on the surface because of inter penetration of irregularities of two surfaces in contact and due to molecular attraction.
1.1 Friction on a Horizontal Plane
![]() |
In above figure, there is a body of Weight "W" kN lying an a rough Horizontal Plane. Our aim is to move the body by applying a horizontal force "P" kN. P will be increased from zero to a value till the body starts moving.
In the beginning, the applied force "P" will be small and it will be opposed by equivalent frictional force so that body will remain at rest. When P is increased to a value such that body starts moving. It means the limiting static frictional force Fs has been achieved. As soon as the body starts moving Fs gets reduced to "Fk". The reduction in "Fs" to "Fk" is because of irregularities get lifted up (which were interlocked in rest position).
Fs is called Limiting Static Frictional Force
Fk is called Kinematic Frictional Force.
Fk = µk.N & Fs = µs.N = µs.W , or µs = Fs/N = tanΦ
where as Φ is Angle of Friction.
µk is usually between 0.75 to 0.85 of µs.
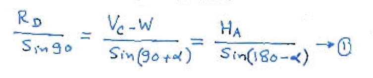
P = W tanΦ ----------------------① 1.2 Friction on an inclined plane
∝ = Angle of inclined plane with respect to horizontal plane
W = Weight of the body lying on the inclined plane.
µs = Coefficient of static friction
= tanΦ = Fs/N
![]() |
![]() |
W/Sin(90+∝+Φ) = P/Sin[180-(∝+Φ)]
∴ P = W Sin(∝+Φ)/Cos(∝+Φ) = Wtan(∝+Φ)----------------------②
Valid for Motion up the Inclined Plane
For Motion down the plane, frictional force will be in the oposite direction, therefore in place of +Φ, substitute -Φ
Accordingly P = W tan(∝-Φ)
When body slides down without P being applied,
We will have P = W(tan(∝-Φ) = 0
or tan(∝-Φ) = 0 ∴ ∝ = Φ
i.e When Angle of Friction is equal to Angle of Inclined plane the body will slide down.
1.3 Frictional Forces on Wedges
1.3.1 What are Wedges
Any triangular or trapezoidal piece of metal or hard wood which can be used to make the small adjustments in heavy pieces of machinery.
1.3.2 General Formula for Wedges
![]() |
µ2 = Coefficient of Friction between Weight W and Wedge = tanΦ2
µ3 = Coefficient of Friction between Wedge and bottom floor = tanΦ3
![]() |
|
![]() |
1.3.3 Single Formula Concept of Friction Formula (Explanation and Justification)
| P = W tan(∝+2Φ) |
∝ = 0, Friction taken place on a single surface so we will have "Φ" instead of 2Φ.
i.e P = W tanΦ----------------------①
(2) Inclined Plane
"∝" remains as it is.
Similarly, single surface of contact and as such we will have "Φ" instead of 2Φ.
i.e P = W tan(∝+Φ)----------------------②
(3) Wedge
"∝" remains as it.
Wegde suffers friction on two surfaces so we will have 2Φ
i.e P = W tan(∝+2Φ) ----------------------③
General Formula when three surfaces including wall have angle of friction as Φ1,Φ2and Φ3 .
![]() |
All the angles should appear in numerator and denominator.
For no Friction on the wall, Φ1 = 0
Chapter 5
Wedges - using The Wedge Formula
Problems on wedges are normally solved by drawing free body diagrams of the Weight and the Wedge. Using conditions of equilibrium or Lami’s theorem, the desired results are obtained.Here, the problems on the Wedge and the Inclined Plane are solveed by using Wedge formula given above,
| i.e. P = W tan(α+2Φ) when Φ1 = Φ2= Φ3= Φ |
Otherwise, we use
![]() |
The angle of wedge is 30°.
![]() |
Since,
| ∝ = 30° and µs = 0.3, ∝ = 30° |
| ∴ Φ1 = Φ2 =Φ3 = Φ 16.7° |
| P = W tan(∝ +2Φ) = 600 tan(30+2×16.7) |
| = 600 tan63.4° = 1200N =1.2kN (Answer) |
![]() |
P is pushing wt. A =10KN up on the inclined plane.
Inclined plane formula
| P = W tan(∝ + Φ) = 10 tan(30 + 15) = 10KN |
| N =WA +WB ∴ Fs = µsxN |
| For WB to be at rest , Fs ≥ P |
| i.e. µs (WA +WB) ≥ P or 0.268(10+WB) = 10 |
![]() |
For mechanical advantage P < W at the most P will be equal to W
i.e. P = W,
Using Wedge Formula
| P = W tan(∝ + 2Φ) |
| or W = W tan(∝ + 2×10) |
| i.e. tan(∝ + 20) = 1 =tan45° |
| ∴ ∝ + 20 = 45 or ∝ = 25° (Answer) |
![]() |
Since there is no wall support , Φ1 = 0, Φ2 = Φ3 = Φ = 10°
We will use original wedge formula,
i.e
![]() |
Because of symmetry each wedge will be required to lift 500N.
We have therefore Φ1 = 0, Φ2 = Φ3 = 10°, ∝ = 15° , W = 500
![]() |
![]() |
Angle of wedge ∝ = 20°. Angle of friction = 15°
For all the surfaces in contact
| Let P1 be the force required to raise the load, assuming Weight of B as zero. |
| & Let P2 = Force to overcome friction of Weight of wedge |
| P2 = µs x40 |
| P2 = tan-1 15° x 40 |
| P2 = 0.268 ×40 = 10.72kN |
| P1 = W tan(∝ + 2Φ) |
| P1= 100 tan(20+2×15) = 100 tan50° = 119.17kN |
| ∴ P = P1 + P2 = 119.17 + 10.72 = 129.89 kN (Answer) |
We can again write P = P1 + P2
P2 remains to be 10.72 but in opposite direction.
![]() |
| P1 = W tan(∝ - 2Φ) because friction will at an opposite direction and such Φ will be -ve |
| P1 = 100 tan(20 – 2 ×15) = 100 × tan(-10) = 100(-0.1763) |
| P1 = -17.63 |
| P2 = -10.72 |
| ∴ P = -(17.63 + 10.72) |
| = 28.35 kN (Answer) |
![]() |
Φ2 = Φ3 = 25°
First imagine wedge A fixed to the ground. Only wedge B acts and by applying force P, it will raise the load by suffering friction at two places, with wedge A and load W.
| P = 200 [ (Sin(05+25 + 25) )/( Cos(25 + 0+25))]( Cos0° / Cos25°) |
| ∴ P = 200 [ (Sin(55°) )/( Cos30xCos25)] |
| = (200x0.819)/(0.866x0.906) = 208.77kn |
![]() |
Since load is always vertical and horizontal force is applied on Wedges.
Thus we will call block “C” as load and block A & B as Wedges. When A is fixed, push on Block “B” wedge will be (P+20)µ and load W of C is P
| Φ = 15° , ∴ µ = tan-1 15 = 0.268 and ∝ = 15° |
| Applying Wedge Formula P = W tan(∝+2Φ) |
| Push on the wedge B will be (P+20)µ and load W = P |
| ∴ (P+20)(0.268) = P tan(15+2×15) = P×1 = P |
| ∴ 0.732 P = 20×0.268 |
| ∴ P = 7.32kN (Answer) |
| Now if Block A has weight 20kN or more, say 40kN |
| P = Push on Block B or A will not change. |
Most of the real life problem on wedges are straight forward as given in the derivation of Wedge- Formula. Therefore solution can be obtained in two minutes.
An attempt has been made to tabulate the value of horizontal force “P” on the Wedge in terms of the Load “W” to be lifted or adjusted for popular values of co-efficient of static friction µs and the angle of the Wedge “∝”.
| Angle of Wedge µs Φ | ∝ = 5° | ∝ = 7° | ∝ = 10° | ∝ = 12° | ∝ = 15° |
| µs = 0.2 Φ =11.31 | P = 0.5232W | P = 0.5685W | P = 0.640W | P = 0.6904W | P= 0.770W |
| µs = 0.25 Φ =14.04 | P = 0.6512W | P= 0.7021W | P=0.7833W | P=0.841W | P=0.935W |
| µs = 0.30 Φ =16.70 | P= 0.7925W | P= 0.8510W | P=0.9456W | P=1.014W | P=1.126W |
| µs = 0.35 Φ =19.29 | P=0.9516W | P=1.021W | P=1.1335W | P=1.2166W | P=1.355W |
Solve again
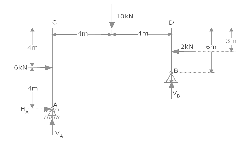
Example 7. using standard method of applying Lami’s Theorem to Free Body diagrams of Load and the Wedge.
Given Diagram
![]() |
i).Free Body diagram of wedge “C” ![]() | ii).Free Body Diagram of load B ![]() |
| Apply Lami’s Theorem P/(Sin(180-30-30)) = R2/(Sin(90+30)) | Apply Lami’s Theorem R2/(Sin(180-15)) = P 20/(Sin(90+30+15)) |
| ∴ R2 P Cos30/Sin60 .................① | ∴ R2 = 20 x(Sin15/Cos45) .................② |
| Comparing Equation ① and ②, we have, R2 = P Cos30/Sin60 = P = 20Sin15/Cos45 = 20 x (0.2588/0.707) = 7.32kN (Answer) | |
Summary and Conclusion
Frictional force is independent of the area of contact Frictional force acts in tangentical direction to the surface in contact and opposite to he direction of motion.
Coefficient of static friction always greater than coefficient of dynamic friction.The volume of static friction is known as limiting friction.
Angle of friction is the angle between normal reaction and the resultant of normal reaction and limiting friction.
The relation between the different parameters “µ”, “Φ”, “∝” and N are as follows:
µ=tanΦ, µ = Coefficient of friction, Φ = Angle of friction.
F= µN, F = Friction Force
∝ = Φ here ∝ = Angle of repose
"∝" is also used as an Angle of the inclined plane.
A body of weight “W” on an inclined plane of angle “ ∝ ” is being pulled up by a horizontal force “P”. The motion impends when P=W tan(∝+Φ ),
For N threaded screw the “Lead” of the screw is L = n times the pitch and angle of the screw jack is tanΦ= L / 2πr
Wedges are used to lift or adjust the heavy blocks or machinery by applying a force P which is usually horizontal.
Wedges formula in general form is
![]() |
| P = W tan(α+2Φ) |
Horizontal Plane ∝ = 0, single surface for friction, therefor 2Φ to be replaced by Φ , P = W tanΦ
Inclined plane P = W tan(α+Φ)
Chapter 6
Analysis of Trusses
(Method of Joints And Method of Sections)
What is a TrussTruss is a structure made up of straight members joined together at their ends by pin joints.
There are two categories of Trusses.
1. Plane Trusses
2. Space Trusses
Examples of Plane Trusses are Roof Trusses and Bridge Trusses.
Example of space Truss is a Transmission Line Tower.
Types of Plane Trusses
1. Roof Trusses
![]() |
![]() |
![]() | ![]() |
![]() | ![]() |
![]() |
![]() |
![]() |
4. Tower Truss
![]() |
When we examine the stability of the truss, we come across the terms
(i) Perfect Frame
(ii) Redundant Frame
(iii) Deficient Frame
An idealized truss is said to be “just-rigid ”. If we remove any of its member, the frame so called truss will collapse and the rigidity of the truss is lost.
A basic stable structure (which is just rigid ) is a structure with only three members and three joints it forms a triangle.
Thus , when we make a simple plane truss, we begin with an elementary stable structure of three members and three joints (a triangle ).It may be seen from the sketch given below that to make it stable we have to add two members with a joint. For every additional two members, one joint has to be provided
![]() |
j = Total numbers of joints in the same truss under consideration
If we proceed from the basic elementary truss
(a) which is a triangle having 3 members and 3 joints
m = 3 +2(j-3) or m = 2j-3
If the number of members are more then 2j-3, the truss is said to be over-rigid. Thus, we say,
| m = 2j-3 , perfect frame |
| m > 2j-3 , redundant frame |
| m < 2j-3 , deficient frame. |
![]() |
- All the joints are assumed to be friction less pins.
- The members of the truss are connected at their ends.
- All the given loads are applied at the joints only.
- The weight of the members may be neglected.
- C.G line of all the members meet at one point at the joint.
- The section of the members are assumed to be uniform.
![]() |
![]() |
Assuming tension in members AB and AC (for tension arrows will be away from the Joints). VA is assumed to be +ve reaction upwards and P is assumed to be load at the joint .
In all practical applications, we normally consider FBD of joints only.
Identification of Zero force members
Rule 1. When two members meeting at the joint are not in one straight line and there is no load or reaction at the joint, each of the two members will have Zero Force .
i.e FAB = FAC = 0
![]() |
|
because its vertical components cannot be balanced.
Examples
1.
![]() |
![]() |
|
|
1. Consider the equilibrium of entire truss and determine the reactions.(VA,VB and HB).
![]() |
3. Sketch the Free Body Diagram of the joint(A) so chosen.
![]() |
This will give us the magnitude of these two unknown member forces (FAC & FAD)
5.Proceed to next joint and repeat the procedure (Joint C or D). This will give the values for next two member forces
6.In this manner, we can determine the forces in all the members of the truss.
Method of Joints is used to determine forces in all the members of the truss.
![]() |
Reactions :-
∑ Mat A= 0, +ve VA × 0 + 16×4+4×3+HBx 0 -VB ×8 = 0 |
| ∴ VB = + 9.5kN ↑ |
| ∑V= 0, ↑ +ve, +VA +VB-16 = 0,or VA + 9.5 -16 = 0 |
| ∴ VA = +6.5kN ↑ |
| ∑H = 0 , →+ve, +HB + 4 = 0 |
| ∴ HB= -4kN ← |
![]() |
| ∑V = 0 , ↑ +ve, +6.5 + FAC SinΘ = 0 |
| ∴ FAC = -6.5/SinΘ = -6.5/3/5= -10.83kN (comp). |
| ∑H = 0, → +ve, FACCosΘ +FAD |
| ∴ FAD = +8.67 (T) |
![]() |
| ∑V = 0 , ↑ +ve, +FCD -16= 0 |
| ∴ FCD = +16kN (T) |
| ∑H = 0 , → +ve, +FDB -8.67= 0 |
| ∴ FDB= + 8.67kN(T) |
![]() |
| ∑V= 0, ↑+ve FBC SinΘ +9.5 = 0 |
| ∴ FBC = -15.83(C) |
![]() |
i). Joint E
![]() |
| ∑V = 0, ↑ +ve -30 - FDE SinΘ = 0 |
| ∴ FDE = -30×5/3 = -50kN (C) |
| ∑H = 0, → +ve, -FCE-FDE CosΘ = 0 |
| ∴ -FCE + 50CosΘ = 0 ∴ FCE = +40kN(T) |
Assume tension in unknown members AC and CD.
![]() |
| ∑H = 0, → +ve, +40- FAC = 0 ∴ FAC = +40 kN(T) |
| ∑V = 0, ↑+ve, -30-FCD = 0 ∴FCD = -30kN (C) |
iii) Joint D
Assume Tension in unknown members AD and BD.
![]() |
| ∑V = 0, ↑+ve, FADSinΘ -30-50 SinΘ = 0 |
| ∴ FAD = 60/SinΘ = +100kN(T) |
| ∑ H = 0, →+ve -FBD-FADCosΘ-50CosΘ = 0 |
| ∴ -FBD -100 x 4/5-50 x4/5 = 0 |
| ∴ FBD = -120kN(C) |
![]() |
i). joint E
![]() |
| ∑ H = 0, →+ve, -FEF = 0 ∴ FEF = 0 |
| ∑ V = 0, ↑+ve +FDE -10 = 0 ∴ FDE = 10kN (T) |
![]() |
| ∑V = 0, ↑ +ve, -10-FDF CosΘ = 0 |
| ∴ FDF = -10/CosΘ = -10/4/5= -12.5kN (C ) |
| ∑H = 0, → +ve, -FCD-5-FDFSinΘ = 0 |
| ∴ -FCD -5 +12.5x3/5 = 0 ∴ FCD = +2.5kN(T) |
| ∴ FCF = 0, FCD = FBC = +2.5 kN(T)(Can be Solved orally) |
![]() |
| ∴ FBF = +12.5kN(T) since FDF is compressive |
| FBF is add to 7.5 kN +7.5 kN = 15kN → |
| ∴ FGF = 15kN → (to the joint)( C ) |
v). Joint B
![]() |
| ∑V = 0, ↑+ve, |
| -5-12.5×4/5 -FBH x 4/5 = 0 |
| ∴ FBH = -15×5/4 = -18.75 ( C) |
| ∑H = 0, →+ve, |
| -FAB +2.5 + 12.5×3/5 +18.75 ×3/5 = 0 |
| ∴ FAB = +21.25 kN(T) |
![]() |
Reactions:
Most of the students find it difficult to calculate the reactions because of determining the horizontal distance of 12kN load from A or B.
Horizontal distance AE = 2.5+(7.5/2)=6.25 m.
∑ M at A = 0, +ve, VA x 0 +10x2.5+12x6.25-VBx10 =0 |
| ∴ VB =10 kN ↑ and ∴ VA= +12kN ↑ |
![]() |
| ∑V=0, ↑ +ve, +12+FACSin60=0 |
| Therefore, FAC= -13.86kN (c) |
| ∑H = 0, → +ve, +FAD+FAC cos60=0 |
| Therefore, FAD=+6.93kN (T) |
![]() |
| ∑V=0,↑ +ve,+10+FBE Sin30=0 |
| Therefore, FBE= -20kN(c) |
| ∑H=0, → +ve, -FBD- FBE cos30=0 |
| Therefore, -FBD +(20 x 0.866) =0 |
| Therefore, FBD = +17.32kN (T) |
![]() |
| ∑along DE=0, |
| -FDE -12cos30 = 0 |
| Therefore, FDE= -10.39 kN (c) |
| ∑along perpendicular to DE=0, △ +ve |
| -FCE -20+12cos60 = 0 |
| Therefore, FCE = -14kN(c) |
![]() |
Reactions:
   Because of symmetry;
VA=VB=10kN ↑ each
i). Joint A Assume tension in AD & AC
![]() |
| ∑V=0, → +ve, +10+FAD cos60+FACcos30=0 |
| +10+0.5FAD+0.866 FAC=0 ....① |
| ∑H=0, → +ve FAD cos30+ FACcos60=0 |
| Therefore, 0.866 FAD+0.5FAC=0 ....② |
| FAC = -1.732FAD |
| Substituting FAC in ① above, we get |
| FAC = -17.32 kN (c), FAD = +10kN (T) |
| FBD = +10kN (T) |
| and FBC =-17.32 kN (c) |
![]() |
| ∑V=0, ↑ +ve , -20-FCD +17.32 cos30+17.32 cos30 = 0 |
| Therefore, FCD = -20+(2x17.32cos30x0.866) = +10 |
| Therefore, FCD = +10kN (T) |
Chapter 7
Method of Sections
This method is used to find the forces in one or a few members of the truss. It is used as a design check. The method consists in dividing the given truss into two parts, by passing a curved section through the members of interest. Free body diagram may be drawn for the left hand or right hand side portion of truss and the forces in the members cut are determined.
1. Step-by-step Procedure for Method of section :
- Consider the equilibrium of the complete truss and determine the reactions.
- Take a section through the members of interest(taking care that not more than 3 members are cut).
- This will result in having two portions of the truss, left hand side and right hand side. In case of vertical truss, lower portion or upper portion trusses may be obtained.
- Depending upon the convenience, we may consider the FBD of either LHS truss portion or RHS truss portion. Do not forget to replace forces of the members cut as external forces.And these three forces may be arounded tensile
- The three members cut and replaced by unknown forces will act like three unknown reactions.
- Consider the FBD of LHS portion of the truss. Applying conditions of equilibrium ∑H=0, ∑V=0 and ∑M=0, we can find the unknown members forces to be removed.
Secondly, the left hand side or right hand side portion truss is considered to determine unknown member forces.
3. Use of components of a force :
When there are two or more inclined unknown member forces, it may be easier to find its horizontal or vertical component.
![]() |
| If H is determined | If V is determined |
| F = H x (r/h) | F = V x (r/v) |
4. Examples:
![]() |
| ∑H=, → +ve , will give HA=-1.5 kN ← |
∑M at A = 0, +ve , will give us VB=6.5 kN ↑ |
| ∴ VA=5.5 kN |
a. Member DH
| ∑V=0, ↑+ve +5.5-4.0+FDH Sinθ =0 |
| ∴ FDH=(-1.5/sinθ)=-1.875 kN (c) |
∑Mat H=0, +ve (only LHS truss) |
| (+5.5x3)+(1.5x0)+(4x0)+(FDHx0)+FGH x 0 +FCDx4 =0 |
| ∴ FCD=(-5.5x3/4)=-4.125 kN (c) |
![]() |
| ∑H = 0,→ +ve ∴ HA +1+2+2 = 0 |
| ∑HA=-5 kN ← |
∑Mat A=0, +ve, HAx0+VAx0+8x0+8x4+1x9+2x6+2x3-VBx4= 0
|
| ∴ VB=+14.75 kN , hence VA=+1.25 kN |
Assume tension in members cut,then:
a. Member CD:
| ∑H = 0, ←+ve ,+1+2+2-FCD = 0 |
| ∴ FCD = +5 kN (T) ▼ |
∑M at D = 0, +ve, |
| (-8x4)-(FCEx4)+(8x0)+(1x6)+(2x3)+(FCDx0)+(FDBx0)+(2x0)=0 |
| ∴ FCE = (-20/4) = -5 kN (c) ▼ |
| ∑V=0,(-8-8+5-FDB) = 0 |
| ∴ FDB=-11 kN (c) ▼ |
![]() |
![]() |
Consider FBD of complete given Truss
∑M at A=0, +ve, VAx0+4x4+6x8+8x12+10x16+12x20-VBx24 = 0 |
| ∴ VB=+23.33 kN ↑, hence VA=16.67 kN ↑ |
Assuming tension in these members, FBD of LHS Truss is shown
(iii) Member FH :
Choose a point where remaining two members EG and EH meet i.e. point E.
∑M at E = 0, +ve, [(+16.67x8)-(4x4)+(6x0)+(FGE x 0)+(FEH x 0)-(FFH x 4)]=0 |
| ∴ FFH=+29.34 kN (T)▼ |
Choose a point where remaining two members EH amd FH meet i.e. point H.
∑M at H = 0, +ve, [(+16.67x12)-(4x8)-(6x4)+(FEH x 0)+(FFH x 0)+(VGE x 0)+(HGE x 5)=0 |
{please note that VGE & HGE are components of “FGE” at G}
| ∴ HGE = -28.08 |
| Hence, FGE = (HGE/h)x r = (-28.08/4)x (√17) = -28.94 kN(C) ▼ |
Remaining two members GE & FH meet at 0.
∑M at O =0, +ve, |
| [(-16.67x8)+(4x12)+(6x16)+(FGE x0)+(FFH x0)+(HEH x0)+(VEH x 20)=0 |
{please note that HEH &VEH are components of FEH at H}
| ∴ VEH=(-10.64/20)=-0.532 & FEH =(0.532/4)x (4√2)=-0.752 kN (C) ▼ |
![]() |
FBD of given Truss, ∑M at E = 0 ,
+ve ,-100×10VE×0-VFx5 =0∴ VF = -200 kN ↓, Hence VE = 300kN ↑
In the method of sections for a cantilever Truss these are not required. (ii) Member CE : Remaining Two members meet at point D.(DF & DE)
∴ Mat D = 0, +ve , -100×10- VCE ×10 +FDF ×0+FDE ×0 =0 |
| ∴ VCE & HCE are components of FCE at A. |
| ∴ VCE = -100kN , hence FCE = VCE/ϑ×r = (-100×√(52+2.52 ))/2.5 |
| = (-223.61)/((c))kN (C) ▼ |
Remaining two members meet at point E.(DE & CE)
∴ ∑ M at E = 0 , +ve , -100×10+FCE × 0 +FDE×0+HDF×0+VDF×5 = 0 |
| ∴ VDF = +200kN |
| ∴ FDF = VDF/ϑ×r = (-200×5√2)/5 = 282.8 kN(T)▼ |
Remaining Two members DF and CE meet at o
∴ ∑ M at O = 0 , +ve , -100×20-FDE × 10 +FDF×0+FCEx0= 0 |
| ∴ FDE = -200 kN(C) ▼ |
Reactions to be determined as given in Example 4 .
![]() |
| VE = 300kN ↑, VF = 200kN ↓ |
| ∑V=0 , ↑ +ve |
| FDF sin45-200 = 0 |
| ∴ FDF = 282.8kN( T)▼ |
| ∑H= 0, +ve -FDF cos45-FEF = 0 |
| ∴ FEF = -200kN(C ) ▼ |
| ∑H=0 ,→ +ve |
| -200-FCECosθ = 0 |
| ∴ FCE = -223.6kN( C) ▼ |
| ∑V = 0 , ↑ +ve , +FDE +300+FCE Sinθ = 0 |
| ∴ FDE = -300-FCESinθ = 0 |
| = -300+223.6×2.5/5.59 |
| -200kN( C)▼ |
Chapter 8
Centre of Gravity
1. Centre of Gravity :Centre of gravity is defined to be a point through which the weight of the body is assumed to act. A rigid body consists of a large number of particles. The force of gravity acts on these particles. These gravitational forces acting on these particles form a system of parallel forces. The resultant of these parallel forces act in all the positions of the body through a point called centre of gravity. If all the particles of a rigid body lie in one plane, it is called as a plane figure. The centre of gravity of plane figure is termed as centroid because, plane figures do not have any weight.
2. Centroid Of Plane Figure & Axis of Symmetry :
A plane figure has no thickness and hence it has no weight. Hence the centre of the gravity of the plane figure is called “Centroid” of the area or just a centre. It may be defined as a point through which entire area is assumed to act. In most of the problems, in Engineering Mechanics, it is observed that the rigid bodies or plane figures are symmetrical about an axis. This axis is termed as an “Axis of Symmetry”. Therefore, it is obvious that the C.G of the rigid body or the centroid of the area necessarily lies on the axis of symmetry.
3. Location Of the Centroid :
![]() |
Let, ͞x = Unknown distance of C.G from Y-axis.
“For lines and areas, C.G is known as centroid and depends only on the geometry of body”.
The centroid of the area can be located by calculating the values of ͞x by simple Mathematics.
Moment of the entire area about Y-axis:
![]() |
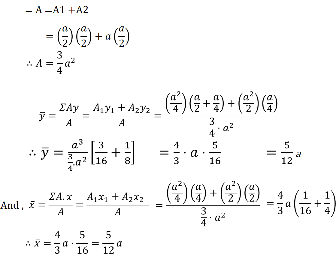
4. Location Of Centroid – General method and procedure :
When a given area is built up of number of known areas (rectangle, triangle, circles, semi-circles etc.) with known centroids as shown, the following procedure may be adopted.
![]() |
ii). Identify the known areas and assign a number to each of the areas (Semi-circle 1, Rectangle 2 & 3, triangle 4).
iii). Calculate the areas A1,A2,A3, and A4 and also calculate the sum of the areas. A or ∑A= A1+A2+A3+A4
iv). Calculate the moment of all these areas about the reference axis, the distance of the C.Gs of these areas from reference axis will be y1,y2,y3 & y4.
We will get, ∑Ay=A1y1+A2y2+A3y3+A4y4.
v). Finally as per theory above, ?⋅ ̅y = ∑?? =?1 ?1+?2 ?2+?3 ?3+?4 ?4
![]() |
![]() |
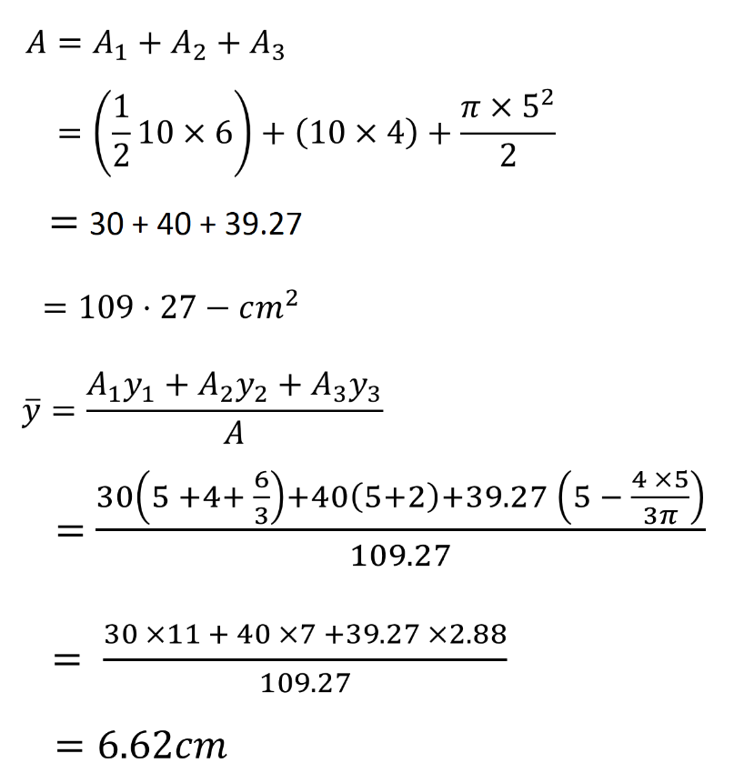
![]() |
Area of given plate is
![]() |
![]() |
![]() |
because of symmetry about vertical centroidal axis ͞x = 10/2 =5.0cm
Chapter 9
Moment Of Inertia
Moment of inertia is defined as the second moment of an area about the given axis. The section shown in the figure has two axes passing through the centroid. The moments of inertia about the two axes are:| IXX = ∑ y2.dA |
| IYY = ∑ x2.dA |
![]() |
Its physical significance lies in the fact that it is a sort of measure of resistance to bending. Greater the Moment of Inertia, greater will be resistance to bending.
Similarly mass Moment of Inertia is used to calculate the resistance to rotation of the fly wheels and the kinetic energy of the rotation.
In order to determine the Moment of Inertia of any section of the beam or a member, we will need the application of two theorems described below.
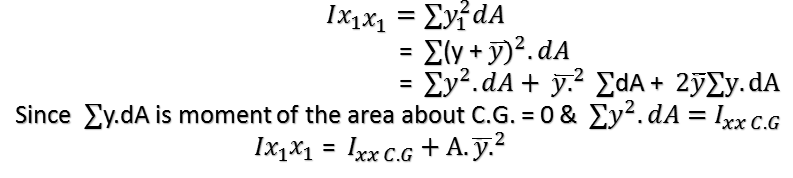
It states that the Moment of Inertia of an area about an axis is equal to the sum of Moment of Inertia passing through the centroid and parallel to given axis, plus the product of area and square of the distance between the two parallel axis.
![]() |
| By Definition of Moment of Inertia |
![]() |
![]() |
![]() |
It may also be noted that I??(C.G) will be minimum amongst all parallel axes.
![]() |
Therefore, By Definition of Moment of Inertia
| Ip = ∑ r2dA |
| Ip = ∑ (x2 + y2).dA |
| = ∑ y2.dA + ∑ x2.dA |
| Ip = IXX + IYY |
1. Rectangular section
|
|
ii).Triangular Section
In this problem , it will be easier to find moment inertia about the base of triangle. After this determination , by using parallel axis theorem,I?? can be determined.
![]() |
![]() |
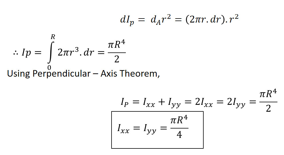
iii). Solid Circular Section
![]() |
Let Ip = Moment of Inertia of plane lamina lying in xy plane about an axis, perpendicular to xy plane passing through C.G.
Consider a small annular ring of radius r and thickness dr, we have by definition of Moment of Inertia.
![]() |
(iv) Hollow Circular Section
![]() |
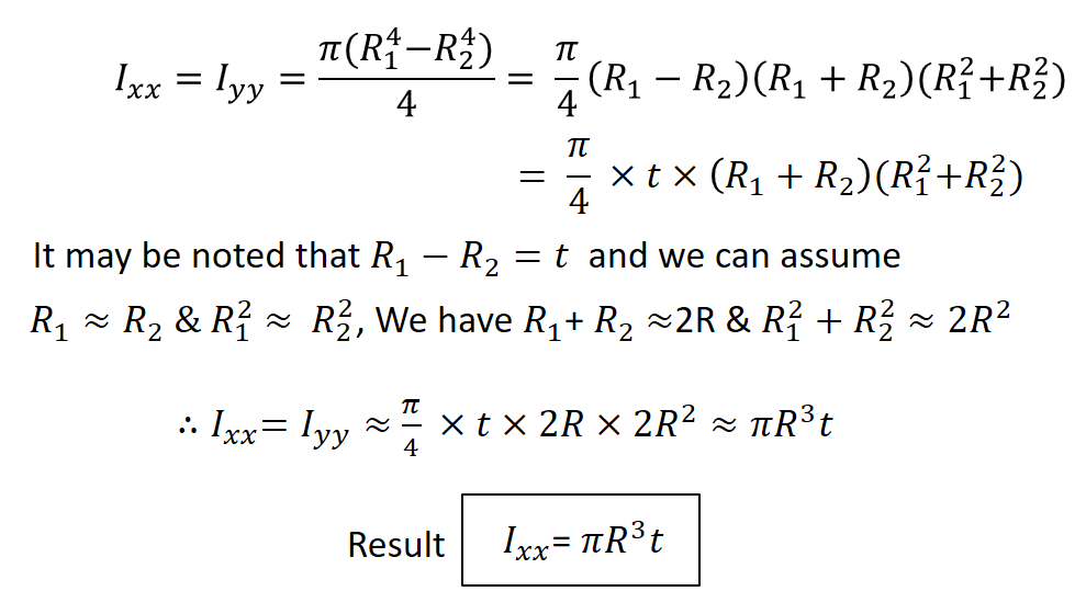
v) Thin Circular Tube of Radius = R and Thickness = t
![]() |
vi). Semi Circular Section of radius R.
![]() |
![]() |
To Determine Moment of Inertia of a Composite area about the C.G of the given Composite Area.
Frist , The C.G of the Composite area is determined as per the reference axes discussed earlier .
![]() |
From here onwards, there are two methods.
Method one is a regular method.
Method two is an indirect method.
This second method can be used in a tabular form also
Method 1:
![]() |
Method 2
First, the Moment of Inertia about the reference axis is calculated for all the “ i ” number of elements.
Next, using parallel axis theorem , Moment of Inertia about the C.G of composite section is obtained .
![]() |
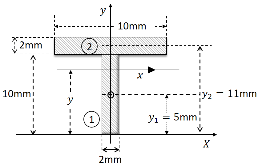
Above method will be explained by an example of 2 elements( 2 rectangles only) as given below.
![]() |
| i = 2 elements |
| A1 = 10×2 = 20mm2 |
| A2 = 10×2 = 20mm2 |
| A= A1+A2 = 40mm2 |
| y1 = 5mm , y2 = 11mm |
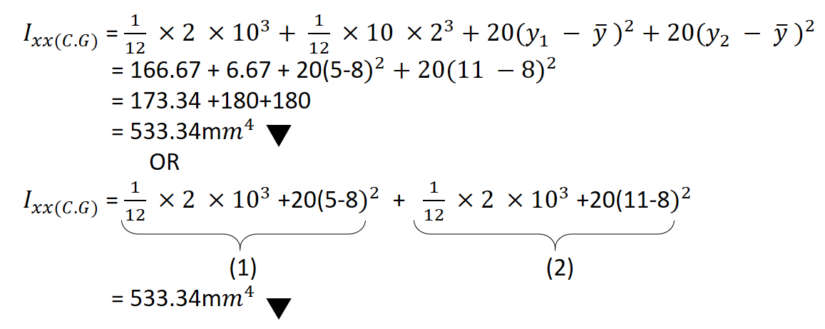
|
![]() |
![]() |
| S.No | Ixx | A | y | A y2 |
| 1 | 166.67 | 20 | 5 | 500 |
| 2 | 6.67 | 20 | 11 | 2420 |
| ∑(sum) | 173.34 | 40 | 2920 |
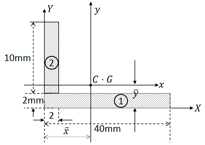
![]() |
![]() |
![]() |
| i= 2 No. of Elements , 1 & 2 |
| A1 = 80 mm2 , y1 = 1, x1 = 20 |
| A2 = 20 mm2 , y2 = 7, x2 = 1 |
![]() |
![]() |
Reference axes X,Y are as shown.x,y are axes passing through the C.G. of the composite area.
| i = 3 number of elements. |
| A1 = 10 X 2 =20mm2 |
| A2 = 30 X 2 =60mm2 |
| A3 = 40 X 2 =80mm2 |
| ∴ A1 + A2 + A3 = 160mm2 |
![]() |
![]() |
- Two rectangles identically placed(1,1)
- Two triangles also identically Placed(2,2)
- One Full semicircle (3)
- one hollow semicircle(-4, It means material removed)
![]() |
Please note that y-y axis is the base for both rectangle & triangle. So base M.I. formula has been used. For semicircle, diameters are parallel to y-y axis.
Therefore M.I.= 0.11R4. 4.Radius of Gyration
Moment of inertia with respect to area is defined as m4 or mm4 units. And is expressed as area multiplied by the distance squared or length “K” squared. Thus we may as well write as
![]() |
5.Product of inertia
We have already defined the M.I. in which distance square appears and it makes it always positive i.e.
![]() |
![]() |
Product of inertia about x-x, y-y axes will be equal to Ixy = (A/2.d/4) +A/2(-d/4) = 0
We conclude that when we have one or more axes of symmetry, product of inertia Ixy = 0
Product of Inertia and Parallel Axis Theorem
It can be proved that parallel axis theorem will be applicable to product of inertia.
![]() |
![]() |
![]() |
Ixy(C.G) Is zero.
Hence ![]() |
| or Ixy = 0 + (bd)(b/2)(d/2) |
| Ixy = b2d2/4 |
Determine product of inertia about the sides of right triangle from the fundamental definition
![]() |
![]() |
![]() |
Product of Inertia and “Angular Axis Formula ”
So far, we have dealt with parallel axis theorem and perpendicular axis theorem. we have got to calculate what will happen to these quantities(Ixx, Iyy & Ixy) Due to change in angle of the axes(?)
![]() |
Section is given with known quantities C.G , Area A, Ixx,Iyy & Ixy.
![]() |
![]() |
![]() |
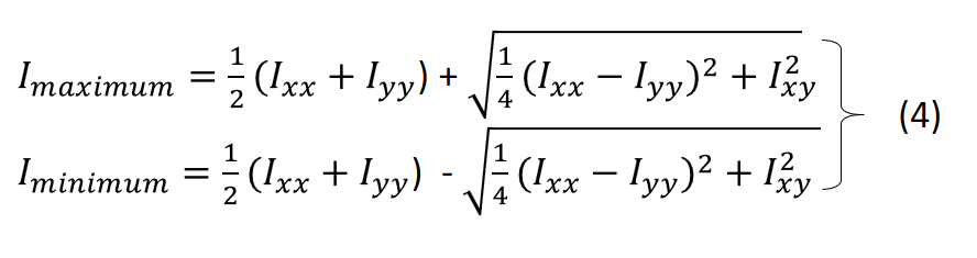
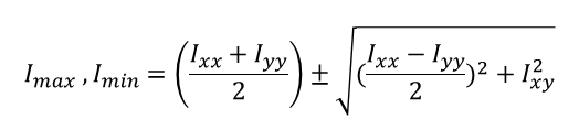
Principal Axes and Principal Moment of Inertia
Principal axes are those axes about which product of inertia is zero and therefore the moment of inertia about these axes will be maximum and minimum.
Hence principal moment of inertia are those which are obtained about the centroidal principal axes. On one principal axis it will be maximum and on the other perpendicular axis, it will be minimum. Their magnitude will be as given below :-
![]() |
Relationship between mass Moment of Inertia and Area Moment of inertia
Mass = density × volume , i.e. m = ?×v = ?t.A= ?t.A i.e. dm = ?txdA
if Ixx = ∑ y2.dA , Ixx(mass) = ∑ y2.dm = ∑ y2dA.?t
Therefore Ixx(mass) = Ixx(Area). ?t Where t is uniform thickness
General formula will be Imass = ? t.IA = M/A. IA Where M = Total mass
|
![]() |
| Consider Circular lamina of Area A = ?R2 |
| Ixx = Iyy = ?R4/4 |
| Ixx + Iyy = ?R4/2 |
| Ip (mass) = ?t.IA = M/A. IA = M/?R2. ?R4/2 |
| IP (mass) = MR2/2 Very importannt formula Unit kgm2 |
![]() |
![]() |
![]() |
![]() |
![]() |
![]() |
(ii) Moment of inertia of a circular area about an axis perpendicular to the plane of area is ?R4/2 or ?D4/32
(iii) Moment of Inertia of triangular section is 1/36.bh3 about Its central and an axis parallel to the base. I base = 1/12 bh3
(iv) Moment of Inertia of an area is always positive and minimum about the centroidal axis .
Where as product of Inertia Ixy for an area can be positive, zero or negative. If it has one or more axes of symmetry, product of inertia Ixy=0
(v) The axes for which Ixy = 0 are known as principal axis. And the Moment of Inertia about these axes are known as principal moment of inertia
(vi) About one principal axis, we will get maximum moment of inertia and about another axis will get minimum moment of inertia
![]() |
(vii) For the plate of thickness t and density ?, Imass = ?t Iareaor Imass = (M/A).IArea.
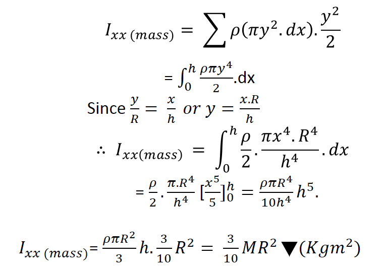
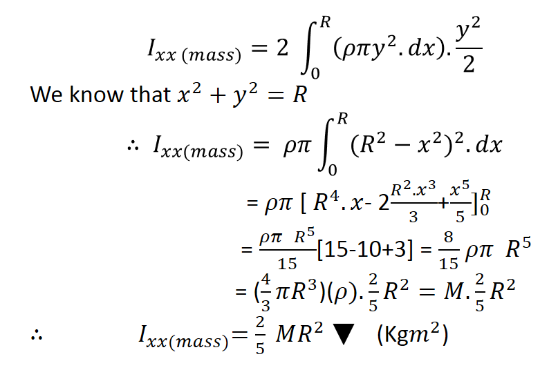
(viii) Mass moment of inertia of a circular cylinder of radius R and mass M about is axis is MR2/2 and that of sphere is 2/5 MR2.
(ix) Moment of inertia of area of the circular tube of radius “R” and Thickness “t” about horizontal or vertical axis is Ixx = Iyy = ?R3 t
(x) Mass moment of inertia of a thin spherical shell of mass M and Radius R is 2/3 MR2.



In other words 1 pin connection
In other words 2 pin connections
In other words 3 pin connections





































































































































































